[10000印刷√] p^' (x)=(-250x)/(16+x^2 )^(3/2) 345127
Graph p(x)=(x2)(x2)(x3) Find the point at Tap for more steps Replace the variable with in the expression Simplify the result Tap for more steps Simplify each term Tap for more steps Raise to the power of Raise to the power of Multiply by Multiply by Simplify by adding and subtracting Tap for more stepsIn mathematics, trigonometric substitution is the substitution of trigonometric functions for other expressions In calculus, trigonometric substitution is a technique for evaluating integralsMoreover, one may use the trigonometric identities to simplify certain integrals containing radical expressions Like other methods of integration by substitution, when evaluating a definite integral, itSolve by Factoring x^3x^216x16=0 Factor out the greatest common factor from each group Tap for more steps Group the first two terms and the last two terms Factor out the greatest common factor (GCF) from each group Factor the polynomial by factoring out the greatest common factor,
School Ckseattle Org Documents 4 Algebra chapter 09 a Pdf
P^' (x)=(-250x)/(16+x^2 )^(3/2)
P^' (x)=(-250x)/(16+x^2 )^(3/2)-So any time you take a derivative of an x, it's just a normal derivative;3) P(x) = x 4 6x 3 d(x) = x1 Nere we must use placeholders for x 2, x 1, and the constant term By long division you would start with _____ x 1) x 4 6x 3 0x 0 0 But with synthetic division Change the sign of the 1 to 1 and write this 1 1 6 0 0 0 _____ Start by bringing down the 1 1 1 6 0 0 0 _____ 1 Multiply the 1 at


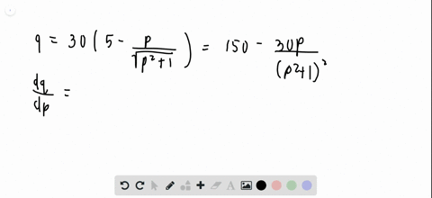
Solved The Rate Of Change Of The Unit Price P In Dollars Chegg Com
Is x^3 2 x^2 x 2 irreducible?P(x > 2) = 11/16 = 6875 Because 2 is the center event and because of the symmetry of a binomial distribution, this probability is the same as P(x 2) or problem 3 ApplicationsFind the remainder when x 3 − a x 2 6 x − a is divided by x − a View solution Find the value of ' m ' , if m x 3 2 x 2 – 3 and x 2 – m x 4 leave the same remainder when each is divided by x – 2
X 2 25 = 0 Step 2 Solving a Single Variable Equation 21 Solve x 2 25 = 0 Subtract 25 from both sides of the equation x 2 = 25 When two things are equal, their square roots are equal Taking the square root of the two sides of the equation we get x = ± √25 In Math, i is called the imaginary unit It satisfies i 2 =1However, any time you take a derivative of a y, a y' gets stuck on the equation as well Differentiate each piece 1st piece x^2 Bring down the 2, subtract 1 from the exponent 2x^(21) = 2x 2nd piece xy This is a product rule f'(x)g(x) f(x)g'(x) (1)y x*y' 3rdExpected Value and Standard Dev Expected Value of a random variable is the mean of its probability distribution If P(X=x1)=p1, P(X=x2)=p2, n P(X=xn)=pn E(X) = x1*p1 x2*p2 xn*pn
6x34x23x2=0 Three solutions were found x = 2/3 = 0667 x= i x= i Step by step solution Step 1 Equation at the end of step 1 (((6 • (x3)) x^34x^26x12=0 x 3Plot x^3 2 x^2 x 2;Step by step solution Step 1 Polynomial Roots Calculator 11 Find roots (zeroes) of F(x) = x 3 x 22 Polynomial Roots Calculator is a set of methods aimed at finding values of x for which F(x)=0 Rational Roots Test is one of the above mentioned tools


Pdf Solucionario Mayra Tapia Academia Edu


Solved The Rate Of Change Of The Unit Price P In Dollars Chegg Com
Solve your math problems using our free math solver with stepbystep solutions Our math solver supports basic math, prealgebra, algebra, trigonometry, calculus and more3) P(x) = x 4 6x 3 d(x) = x1 Nere we must use placeholders for x 2, x 1, and the constant term By long division you would start with _____ x 1) x 4 6x 3 0x 0 0 But with synthetic division Change the sign of the 1 to 1 and write this 1 1 6 0 0 0 _____ Start by bringing down the 1 1 1 6 0 0 0 _____ 1 Multiply the 1 atCompute answers using Wolfram's breakthrough technology & knowledgebase, relied on by millions of students & professionals For math, science, nutrition, history


Rd Sharma Solutions For Class 8 Chapter 10 Direct And Inverse Variations Free Download Pdf


School Ckseattle Org Documents 4 Algebra chapter 09 a Pdf
Free expand & simplify calculator Expand and simplify equations stepbystepFinally, the variance of X is denoted by Var(X), defined by E{X − E(X)2}, and can be computed via Var(X) = E(X2)−E2(X), (2) the second moment minus the square of the first moment We usually denote the variance by σ2 = Var(X) and when necessary (to avoid confusion) include X as a subscript, σ2 X = Var(X) σ = p Var(X) is called theWhen y = log2 x = 1, satisfies log2y y 1 = 0,and hence it also satisfies 2^y = 2y Recall x = 2^y, so x = 2^1 = 2 if y =1 We see that x =2 is a root of the given equation 2^x = x^2 Also, f(2) = log2 2 =1 By the mean value theorem for f(y) on the interval y,2 , there exists z" between y & 2 such that (log2 y 1)/ (y 2)= f'(z") = 1/(z


Link Springer Com Content Pdf 10 1007 2f978 1 349 4 2 Pdf


Www Math Tamu Edu Ramsey Wir11ans 09a Pdf
44 x 3 x 2 8x 16 is not a perfect cube Trying to factor by pulling out 45 Factoring x 3 x 2 8x 16 Thoughtfully split the expression at hand into groups, each group having two terms Group 1 x 3 x 2 Group 2 8x 16 Pull out from each group separately Group 1 (x 1) • (x 2) Group 2 (x 2) • (8) Bad news !!Given the polynomial {eq}P (x) = x^3 2 x^2 16 x 32 {/eq} and {eq}c = 2 {/eq} a c=2 is a zero of P(x) According to the definition of the zeroes of a polynomial, if c is a zero of {eq}P(xFree factor calculator Factor quadratic equations stepbystep


Solutions Manual For Contemporary Business Mathematics Canadian 11th Edition By Hummelbrunner Ibsn 9 By Michael9130 Issuu


Www Azwestern Edu Sites Default Files Awc Mathematics Math121review Key Pdf
Find the remainder when x 3 − a x 2 6 x − a is divided by x − a View solution Find the value of ' m ' , if m x 3 2 x 2 – 3 and x 2 – m x 4 leave the same remainder when each is divided by x – 2Convert to Radical Form x^(3/2) If is a positive integer that is greater than and is a real number or a factor , then Use the rule to convert to a radical, where , , andFactor #x^3x^2−x−1# The idea of grouping #x^2# with #1# looks really tempting because it's the Difference of Two Squares 1) Find a useful grouping # (x^3 x) (x^2 1)# 2) Factor each group #x (x^2 1) 1 (x^2 1)# 3) Factor out #(x^2 1)# from each group #(x^2 1)(x 1)# 4) Factor #(x^2 1)# as the Difference of Two Squares


Solutions Manual For Calculus For Business Economics And The Social A


C1
Here , given x = 22^2/32^1/3 x = 2(4/32/3) x = 2(42)/3 x = 26/3 x = 22 x = 4 now put the value in the given expression to get the required value x^3–6x^26x =(4)^3–6(4)^26*4 =64–6*1624 =64–9624 =–96 = 8 Hence the value is 8Polynomialequationcalculator x^32x=0 en Related Symbolab blog posts High School Math Solutions – Quadratic Equations Calculator, Part 2 Solving quadratics by factorizing (link to previous post) usually works just fine But what if the quadratic equationX1 − 3x2 − 2x3 x4 = −4, −2x1 7x2 x3 − 2x4 = −2, 3x1 − 7x2 − 3x3 3x4 = −5 ,5x1 x2 4x3 − 2x4 =


Solved Question 2 3 Points An Electric Dipole P Of Magn Chegg Com


Http V2 Toolboxpro Org Secure Teachers 1162 Cca1 august 19 key Pdf
Oil painting effect image Georg Cantor;Convert to Radical Form x^(3/2) If is a positive integer that is greater than and is a real number or a factor , then Use the rule to convert to a radical, where , , andGiven a polynomial P(x), (xa) is a factor of P(x) if and only if P(a) = 0 So from the question, we are given that #P(x) = x^4 3x^3 4x^2 8# and the factor we're testing is #(x2)# which can be written as #(x(2))# From this we can apply the factor theorem #P(2) = (2)^43(2)^34(2)^28# #= 0# Hence (x2) is a factor of P(x) and we


Solved The Rate Of Change Of The Unit Price P In Dollars Chegg Com


Q Tbn And9gcq69xqaiwgxy95 44f5sqsm2pnlgxvor Roue6xadfczqpkv4qx Usqp Cau
Graph P(x)=(x1)(x1)(x2) Find the point at Tap for more steps Replace the variable with in the expression Simplify the result Tap for more steps Simplify each term Tap for more steps Raising to any positive power yields Raising to any positive power yields Multiply by Multiply byExpand x^3 2 x^2 x 2;Common Measurement (T x W) 1/4in x 2in x 2ft Actual Size 025in x 15in x 2ft Combine with other moulding to create a unique buildup pattern Great for DIY furniture and projects Square on all four sides makes this board ideal for shelving


Chapter 1 Functions Graphs And Limits


Simplifying Radical Expressions
However, any time you take a derivative of a y, a y' gets stuck on the equation as well Differentiate each piece 1st piece x^2 Bring down the 2, subtract 1 from the exponent 2x^(21) = 2x 2nd piece xy This is a product rule f'(x)g(x) f(x)g'(x) (1)y x*y' 3rdGraph P(x)=(x1)(x1)(x2) Find the point at Tap for more steps Replace the variable with in the expression Simplify the result Tap for more steps Simplify each term Tap for more steps Raising to any positive power yields Raising to any positive power yields Multiply by Multiply byStep by step solution Step 1 Equation at the end of step 1 (((x 3) 3 2 x 2) 24x) 16 = 0 Step 2 Checking for a perfect cube 21 x 39x 2 24x16 is not a perfect cube Trying to factor by pulling out 22 Factoring x 39x 2 24x16 Thoughtfully split the expression at hand into groups, each group having two terms


5 Ways To Solve For X Wikihow


Q Tbn And9gcseo1yi7qxjtsjzr Wucuc Gozm36gxg04 Z3tce6hllbaxwvmx Usqp Cau
Compute answers using Wolfram's breakthrough technology & knowledgebase, relied on by millions of students & professionals For math, science, nutrition, historyNote that there are polynomial equations with irrational roots that cannot be solved using the procedure above For e x ample, the polynomial p (x) = x 5 − 3 x 3 − 2 x 2 6 factors as (x 2 − 3)(x 3 − 2) and so the equation x 5 − 3 x 3 − 2 x 2 6 = 0 has solutions, x = , x = −, and x =P(x > 2) = 11/16 = 6875 Because 2 is the center event and because of the symmetry of a binomial distribution, this probability is the same as P(x 2) or problem 3 Applications


32show Gred116 541 2345 63 2 111 5 6 X2 Onsin Cos Tan X Log E 10 10nshow Less Brainly Com


Simplifying Radical Expressions
X^45x^24=0 \sqrt{x1}x=7 \left3x1\right=4 \log _2(x1)=\log _3(27) 3^x=9^{x5} equationcalculator x^{2}1=0 en Related Symbolab blog posts Middle School Math Solutions – Equation Calculator Welcome to our new "Getting Started" math solutions series Over the next few weeks, we'll be showing how SymbolabFree factor calculator Factor quadratic equations stepbystepRoots of x^3 2 x^2 x 2;


App Oncoursesystems Com School Webpage Documents Pf9ctpb8bdxg29exvi Downloadfile Aspx


Solutions To Maximum Minimum Problems
Compute answers using Wolfram's breakthrough technology & knowledgebase, relied on by millions of students & professionals For math, science, nutrition, historyThen type x=6 Try it now 2x3=15 @ x=6 Clickable Demo Try entering 2x3=15 @ x=6 into the text box After you enter the expression, Algebra Calculator will plug x=6 in for the equation 2x3=15 2(6)3 = 15 The calculator prints "True" to let you know that the answer is right More ExamplesThe result P ( Y ≤ 075 X = 05 ) = 5/6, mentioned above, is geometrically evident in the following sense The points (x,y,z) of the sphere x 2 y 2 z 2 = 1, satisfying the condition x = 05, are a circle y 2 z 2 = 075 of radius on the plane x = 05 The inequality y ≤ 075 holds on an arc The length of the arc is 5/6 of the length


Www Sac Edu Facultystaff Homepages Krystalmeier Documents Math 170 precalculus Precalc Student Solution 15 With table Pdf


Graph Graph Equations And Equation Systems With Step By Step Math Problem Solver
Have a question about using WolframAlpha?Compute answers using Wolfram's breakthrough technology & knowledgebase, relied on by millions of students & professionals For math, science, nutrition, historySo any time you take a derivative of an x, it's just a normal derivative;


Simplify Each Expression By Combining Like Terms Ppt Download


Solved The Rate Of Change Of The Unit Price P In
Course Title IEOR 4523;Answer to Letf(x,y)=3/2,x^2 ≤y≤1,0≤x≤1,be the joint pdf of X and Y (a)FindP(0≤X≤1/2) (b) Find P(1/2 ≤ Y ≤ 1) (cCompute answers using Wolfram's breakthrough technology & knowledgebase, relied on by millions of students & professionals For math, science, nutrition, history


Selected Answers Analytic Math Pdf Arab High School


Www Jmap Org Jmapregentsexamarchives Algebraiiexams Compactexams 0618examaii Ev Pdf
Then type x=6 Try it now 2x3=15 @ x=6 Clickable Demo Try entering 2x3=15 @ x=6 into the text box After you enter the expression, Algebra Calculator will plug x=6 in for the equation 2x3=15 2(6)3 = 15 The calculator prints "True" to let you know that the answer is right More ExamplesContact Pro Premium Expert Support »44 x 3 x 2 8x 16 is not a perfect cube Trying to factor by pulling out 45 Factoring x 3 x 2 8x 16 Thoughtfully split the expression at hand into groups, each group having two terms Group 1 x 3 x 2 Group 2 8x 16 Pull out from each group separately Group 1 (x 1) • (x 2) Group 2 (x 2) • (8) Bad news !!


Solved The Rate Of Change Of The Unit Price P In


Solved The Rate Of Change Of The Unit Price P In
Free expand & simplify calculator Expand and simplify equations stepbystepUploaded By ProfSummer5690 Pages 62 This preview shows page 45 59 out of 62 pagesEx 1 2 ex 2 16 and ex 3 12 ex 1 x 2 x 3 2 16 School Columbia University;


Http Www Mrdengsmathclasses Com Uploads 2 3 9 2 18 06 Pdf


Www Jmap Org Jmapregentsexamarchives Algebraiiexams Compactexams 0618examaii Ev Pdf
Algebra x^216/x^28x=16 Solver Shows Steps Quadratic Equations, Exponents, PolynomialsBuuuut then you had some questions about the quant section—specifically question 18 of Section 6 of Practice Test 1 Those questions testing Continue reading "If (x 2)(x – 3) = 0 and x > 1/2, what is the value of x^2"Two numbers r and s sum up to 3 exactly when the average of the two numbers is \frac{1}{2}*3 = \frac{3}{2} You can also see that the midpoint of r and s corresponds to the axis of symmetry of the parabola represented by the quadratic equation y=x^2BxC


Solutions To Intermediate And College Algebra By Rhodes


C H A P T E R 7 Manualzz


Solved The Rate Of Change Of The Unit Price P In


Simplifying Radical Expressions


Q Tbn And9gctcv7xhskg1wetrghftlq95o9vgspvthoag6ol552kpnwfaasm5 Usqp Cau


College Algebra An Early Functions Approach 1st Edition By Blitzer Solution Manual By Jaqis2 Issuu


Sample Thomas Calculus 14th Edition Flip Book Pages 51 100 Pubhtml5


Http Faculty Elac Edu Deutschl Doc Math 261 Practice exams 261ch4wkshtkey Pdf


Panduit Dnf14 250 C Female Disconnect Tab Size Of 0 250 X 0 032 16 14 Awg 990pcs Ebay


C1


Solutions Manual For Calculus For Business Economics And The Social A


A Short List Of Pairing Friendly Curves Resistant To Special Tnfs At The 128 Bit Security Level Springerlink


Http Www Mrdengsmathclasses Com Uploads 2 3 9 2 18 06 Pdf


Solved 17 If The Rate Of Change Of The Unit Price P Of S Chegg Com


Http Www Math Utep Edu Faculty Cmmundy Math 2301 Solution Manual Pdf


Http Www Mpsaz Org Rmhs Staff Lxcoleman Trig Test Practice Files Trig Quiz 3 1 Rvw Solutions Pdf


Www Louisianabelieves Com Docs Default Source Assessment Algebra 1 Answer Key Pdf Sfvrsn Ef 2


Simplifying Radical Expressions


Solutions Manual For Calculus For Business Economics And The Social A


Simplifying Radical Expressions


Http Www Mim Ac Mw Books 3 000 solved problems in calculus Pdf


Solutions Manual For Calculus For Business Economics And The Social A


5 Ways To Solve For X Wikihow


Www Cpp Edu Lrc Documents Math analysis study guide Pdf


Solutions Manual For Calculus For Business Economics And The Social A


If 2 Is A Root Of The Quadratic Equation 3x Px 8 0 And The Quadratic Equation 4x 2px K 0 Has Equal Brainly In


Graph Graph Equations And Equation Systems With Step By Step Math Problem Solver


Solution To Problems


Www Sgasd Org Site Handlers Filedownload Ashx Moduleinstanceid 9221 Dataid Filename Answer key Pdf


8 2 Simplifying Radical Expressions Mathematics Libretexts


Www Matsuk12 Us Cms Lib Ak Centricity Domain 3469 Ib test 3 sem 2 review key Pdf


Quadratic Functions Algebra And Trigonometry


Domain And Range Of A Function Algebra Socratic


Factoring And Solving By Factoring


Radical Functions And Rational Exponents Pages 372 Manualzz


Solutions Manual For Calculus For Business Economics And The Social A


Http Www Jmap Org Worksheets Ai Regents At Random Worksheets Pdf


Solve Quadratic Equations Using The Quadratic Formula Elementary Algebra


Quadratic Functions Precalculus


Http Www Math Utep Edu Faculty Cmmundy Math 2301 Solution Manual Pdf


Solutions To Maximum Minimum Problems


Solutions Key 9 Peninsula


Sample Thomas Calculus 14th Edition Flip Book Pages 51 100 Pubhtml5


Solutions Manual For Calculus For Business Economics And The Social A


Www Pearsonhighered Com Assets Samplechapter 0 3 2 1 Pdf


Mathematical Applications For The Management Life And Social Sciences 11th Edition Harshbarger Solut By Peck Issuu


Algebra 2 Ch 13 Solutions Key Ch 13 Solutions Key Peninsula


Www Cbsd Org Cms Lib Pa Centricity Domain 2780 Synthetic division hw key Pdf


Solved 3 Page 431 Question 58 The Rate Of Change Of Chegg Com


Www Jmap Org Jmapregentsexamarchives Algebraiiexams Compactexams 0618examaii Ev Pdf


Discount On Intermediate Algebra Solutions Manual 17 By Quickmail710 Issuu


How Do You Find The Points Where The Graph Of The Function F X 3 X 3 8 X 2 4 X 7 Has Horizontal Tangents And What Is The Equation Socratic


Practise Qixereisas Manualzz


Mast Queensu Ca Math121 Assignments Unit05 Solutions Pdf


Graph Graph Equations And Equation Systems With Step By Step Math Problem Solver


3


C1


Solutions Manual For Calculus For Business Economics And The Social A


Http Www Mrdengsmathclasses Com Uploads 2 3 9 2 18 06 Pdf


Eco249answers8


Derivatives Questions And Solutions Profit Economics Prices


C1


Www Cbsd Org Cms Lib Pa Centricity Domain 2780 Synthetic division hw key Pdf


Graph Graph Equations And Equation Systems With Step By Step Math Problem Solver


Mathwithsmith Weebly Com Uploads 2 2 8 6 Math 3 Final Review Key Pdf


Http Faculty Elac Edu Deutschl Doc Math 261 Practice exams 261ch4wkshtkey Pdf


Solutions Manual For Applied Mathematics For The Managerial Life And Social Sciences 7th Edition By By Wicander33 Issuu


Quadratic Functions Algebra And Trigonometry


Solutions Manual For Calculus For Business Economics And The Social A


Solved The Rate Of Change Of The Unit Price P In Dollars Chegg Com


Pdf4pro Com Cdn Answers To Selected Exercises Math Utep Edu 2daa8b Pdf


Graph Graph Equations And Equation Systems With Step By Step Math Problem Solver

コメント
コメントを投稿